Quick facts…
- Results on the efficacy of the application of compost to increase yield, soil organic carbon, and soil health on irrigated pasture are mixed across studies (Cooper and DeMarco 2023; Hurisso et al. 2011; Lakhdar et al. 2009; McClelland et al. 2022; Mikha et al. 2017).
- We undertook a three-year study (2020-2023) in two locations in western Colorado to assess the effect of compost additions on forage yield, soil organic carbon, and soil health in irrigated pasture systems. Our study had four treatments: (1) compost, 2) mineral fertilizer, 3) a combination of fertilizer and compost, and 4) control (no nutrient amendment).
- We did not detect differences between treatments in soil organic carbon or soil health metrics after two years.
- Forage yield was lower in plots amended with compost compared with fertilized plots (-1,585 lb./acre + 458: p = 0.008;) and were not different than the control treatment (i.e., no nutrient amendment) in Year One.
- In Year Two of the study, forage yield (Annual Net Primary Productivity) in the compost treatment plots was not different from other treatments.
- Salt accumulation in the soil was not observed despite compost application rates as high as 18 tons/acre.
- Compost application did not result in increased invasive or undesirable species three years after application.
- Manure and/or compost has been an important part of increasing soil health in tilled systems (Lakhdar et al. 2009; Mikha et al. 2015; 2017b) and can be part of a sound nutrient management plan to reduce reliance on mineral fertilizer in irrigated pasture. However, producers should give careful consideration of their short- and long-term goals, and the quality and application rate of compost (see Recommendations) because cost of compost is high and may not produce comparable yields to fertilizer in irrigated pasture.cost prohibitive.
Recommendations
- Using Compost Depends on Your Goals: Whether compost is the right choice for a producer or not depends on context and goals of the operation they manage.
- Set Appropriate Expectations: Soils change slowly, and it may take several years to see significant improvements in soil health.
- Be Selective: Fields that are degraded or have lost topsoil (and organic matter) to erosion may benefit more from compost than fields that have had minimal disturbance and higher soil organic matter stocks (Cooper and DeMarco 2023; Mikha et al. 2017).
- To maximize potential benefits of compost, use the 4R’s (right source, right rate, right time, and right place) as guiding principles when applying compost (Fronczak 2019; The Fertilizer Institute 2024).
Right Source
Supply nutrients in plant-available forms or in a form that converts into a plant-available form in the soil in a timely way. Consider a combination of fertilizers if that is what can be utilized most effectively.
Compost Recommendations: Applying mineral N fertilizer with compost or manure may be one strategy to provide plant-available N in the short-term and reduce the risk of reduced yield (Hurisso et al. 2011). Nitrogen is the major factor limiting forage production in perennial grass stands (Cooley and Brummer 2011). Because a large portion of the N contained in compost is in organic forms, the N needs to be mineralized before it becomes plant available. If N is not in plant-available forms, it will limit productivity of the hay or forage. Additionally, we recommend choosing a compost with a C:N ratio < 25. A higher C:N ratio may immobilize more N for longer periods of time, which means it will not be plant available (Crohn 2016). To determine the amount of nitrogen in compost, the C:N ratio and other characteristics, users need to analyze compost using a soil or crop testing lab. Compost varies widely depending on the source, and an estimate of the amount of nitrogen is needed to determine the right source and right rate (below).
Right Rate
Match amount of fertilizer applied to the crop nutrient uptake.
Compost Recommendations: Calculate the compost application rate (lbs./acre) based on the nitrogen demand of the crop, the amount and form (organic or inorganic) of nitrogen in the compost, the amount of nitrogen in the soil before application, and the presumed organic nitrogen mineralization rates. Crop-available N in the first year may be less than the recommended rate provided from soil testing facilities because mineralization occurs more slowly in drier, colder climates. Again, a test of the compost is needed to calculate this rate.
Right Time
Plan for fertilizer nutrients to be available during crop demand and consider the weather and seasonal conditions.
Compost Recommendations: Organic nitrogen in compost may be slow to mineralize and become plant available. Though best management practices for manure are to apply as close as possible to crop planting (Waskom and Davis 1994), this is less important with compost (Lupis et al. 2012). To allow sufficient time for the organic nitrogen in compost to become plant-available, a fall application for cool-season irrigated pasture in CO may be beneficial. Soil temperatures should be between 35° F and 50° F to minimize nitrogen loss. Do not apply manure or compost to snow covered or frozen fields because it increases the likelihood of surface loss.
Right Place
Right place means positioning needed nutrients strategically so that a plant has access to them.
Compost Recommendations: Light tillage or other mechanisms that can incorporate the compost right after application (and do not destroy growing plants or significantly disrupt soil structure) reduces potential wind or water erosion of the compost and any attached pollutants (like phosphorous). This can be challenging in irrigated pasture. Examples of methods that would provide some incorporation with minimal disturbance to plants include light harrowing or applying compost with creasing in fields that are watered via furrow irrigation.
Why compost?
(Mikha et al. 2015; Mikha et al 2017b).
Increasing soil organic carbon is desirable because it is one of the most important constituents of soil health. Soil organic carbon influences nutrient availability, water holding capacity, water infiltration, and is the main source of energy for microorganisms. Finally, there is an abundance of carbon credit programs that are coming into the marketplace. Major companies are implementing compensation platforms to incentivize farmers/ranchers to implement practices that enhance soil organic carbon stocks. Soil carbon gains can be purchased, providing another source of farm/ranch revenue.
However, the efficacy of compost on soil organic carbon and yield in irrigated pasture has mixed results (Cooper and DeMarco 2023; Hurisso et al. 2011; McClelland et al. 2022; Mikha et al. 2017; Mikha et al. 2017b) and there are minimal studies from Colorado. Additionally, there is uncertainty about appropriate application rates. In this fact sheet we provide results from our 2020-2023 research project in irrigated pastures in western CO that evaluated the effects of compost amendments on soil health and forage yield. We also synthesize findings from other studies and provide recommendations for the use of compost amendments in irrigated pasture.
How Would Compost Increase Soil Organic Carbon?
Balancing Carbon Inputs and Carbon Loss
Vegetative growth of plants drives belowground soil organic matter, much of which is made of soil organic carbon. Soil carbon amounts are determined by inputs to the soil balanced by losses via microbial respiration and erosion. Compost application can contribute to net soil carbon accumulation by increasing inputs to soil and/or reducing losses. That is, compost amendments can increase soil carbon in two ways:
- By enhancing plant productivity and carbon inputs via plant litter or roots, and/or
- By reducing microbial decomposition and CO2 loss from the soil microbial decomposition.
For compost application to result in a net removal of carbon from the atmosphere, it must increase soil carbon stocks over and above the amount of carbon added to the soil in the compost itself.
Areas with Depleted Carbon Stocks Have Potential for Greatest Gain
The effectiveness of compost application to increase soil carbon is dependent on the context, including climate and previous land-use history. Sites with a history of prior disturbance and depleted soil carbon stocks (i.e. degradation) enable greater proportional increases of soil carbon pools following compost amendments. Additionally, extreme or variable temperature and precipitation patterns (e.g. drought-prone areas) can exert greater influence on vegetation productivity and composition than compost amendments.
Persistence of Carbon Gains
If compost additions enhance soil carbon stocks, how long will it persist? This is another important consideration, especially in terms of understanding the longevity of benefits that may be realized. The fate of soil carbon is a function of the soil characteristics (e.g. pH, texture, i.e., proportions of silt, sand, and clay), moisture, temperature, and the soil microbial community.
Not all soil carbon is considered equal in terms of form, function, or persistence in the soil. Soil carbon that is unprotected (particulate organic carbon) is an important energy source for microbes but is also vulnerable to being lost either through decomposition (microbial respiration) or physical disturbance (e.g. tillage). Carbon that is associated to clay minerals (mineral-associated carbon) or trapped within aggregates is less accessible to microbial decomposers and can remain in the soil for much longer (i.e., it is protected). Because the data is scant, it is unclear how compost amendments influence the different types of carbon, or carbon pools.
Applying Compost in Irrigated Pasture: Calculating rates and compost quality
Compost Amount
There is a wide range of documented compost application rates (Table 2) and a lack of clarity on how to determine the application rate. Determining application rates is influenced by nutrient and chemical analysis of source material, crop type and yield, crop nutrition considerations incorporation methods, and environmental considerations, among others.
In our experiment, we based the rate (tons/acre) on the nitrogen demand of the forage/grass relative to the available nitrogen in the compost and accounted for the existing nitrogen pool in the soil (Table 1). We also made assumptions about nitrogen mineralization rates and availability in the compost (20% of total N estimated to be plant available in year one – (Ward Labs Soil Test Guide).
We found that compost P & K concentrations exceeded forage requirements, and the C:N ratio of the compost was C:N = 18, which is within the desired range for grass hay (C:N of <20-24 has more N available to the plant short term, > 25:1 more is available long term. The calculated amount of compost to achieve the desired N rate, may be quite expensive (discussed below), ranging from 10 -16 tons per acre (compost was $45/ton + delivery), with 6 tons per acre used in the fertilizer plus compost treatment.
Several sources are listed below for estimating compost application rates.
- Diagnosing Saline and Sodic Soil Problems
- Best Management Practices for Manure Utilization
- Interpreting Compost Analyses
- Choosing a Soil Amendment
- A Review of Soluble Salts in Compost
- Compost Application Rates for California Croplands and Rangelands for a CDFA Healthy Soils Incentives Program
- Assessing Compost Quality for Agriculture
- Ward Laboratories Guide
Table 1: Calculated amendment rates used in our study. Note that compost amendments were optimized for forage N requirements (accounted for existing soil N and assumes 20% of org N is ‘plant available in Yr1).
| Site | Treatment | Compost Mass (tons/acre) | Compost-C (tons/acre) | Compost-N (lbs/acre) | Fert-N (lbs/acre) | P (lbs/acre) | K (lbs/acre) |
|---|---|---|---|---|---|---|---|
| Ridgway | Compost | 18.8 | 4.69 | 90 | — | 347 | 628 |
| Fruita | Compost | 10.4 | 2.60 | 50 | — | 193 | 349 |
| Ridgway | Fert+Comp | 6 | 1.50 | 28.8 | 61.2 | 111 | 201 |
| Fruita | Fert+Comp | 6 | 1.50 | 28.8 | 21.2 | 111 | 201 |
| Ridgway | Fert | 0 | — | — | 90 | 50 | — |
| Fruita | Fert | 0 | — | — | 50 | 40 | 40 |
Compost Quality
Quality criteria may include nutrient analyses, the amount of carbon versus nitrogen (C:N), the Fungal:Bacteria ratio and salt content. For example, we tested our compost’s Fungal:Bacteria ratio which was of interest to our stakeholders. Salts may be an issue if compost is applied repeatedly in areas where soils are saline, and compost is derived from manures. We recommended testing compost for salts and any other concerns (and comparing composts if more than 1 industrial-scale composter is available).
Impacts of Compost on Yield, SOC, and Soil Health
Background

At two sites (fields in Ridgway and Fruita, CO), we established four treatments with 24 treatment plots across two sites. The four treatments included:
- Compost
- Fertilizer
- Compost+fertilizer
- Control
We monitored these treatment plots over three years (see timeline in Figure 2). As discussed above, compost, fertilizer, and compost+fertilizer all had equal available N based on the assumption that 20% of the N in compost would be plant available in year one (Table 1). Treatments were applied in spring (March and April) 2021. Compost was not incorporated, and only applied on top of pasture vegetation. We collected yield data at peak production before first and second hay cuttings in 2021 and 2022. We collected species composition data in 2021 and 2023. We collected soil cores with a hydraulic soil auger after one and two calendar years after compost application (spring of 2022 and 2023). Several soil cores were collected per treatment, and aggregated by soil horizon at depths 0-15 cm, 15-30 cm, 30-50 cm and 50-100 cm. See Figure 1 for plot layout.

Results
Pasture Yield and Composition
- Compost plots were less productive (i.e., aboveground production or yield) (p = 0.008; 1,585 lb./acre +458) compared to fertilized plots, and were not different than controls (i.e., untreated) in Year One. See Figure 3 and Table 4.
- In Year Two of the study, plots treated previously with a 1-time application of compost were not different from other plots, regardless of subsequent management (i.e., return to commercial fertilizer, or if no commercial fertilizer was applied).
- There were no increases in undesirable species due to the treatment.
Soil Organic Carbon and Soil Health
- A 1-time application of compost did not increase soil organic carbon stocks (Figure 4). There were no differences among treatments at any depth sampled.
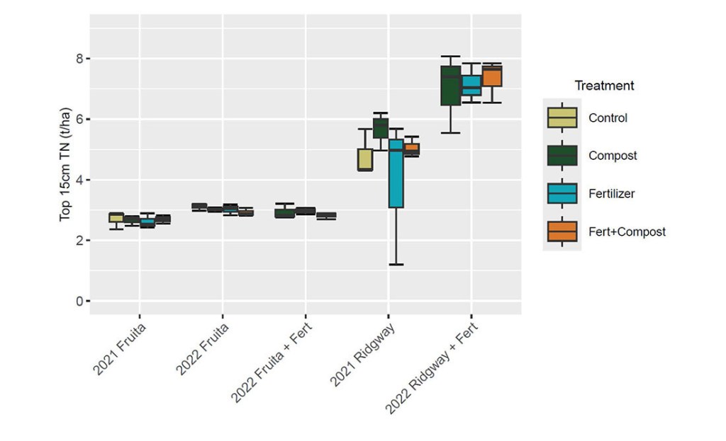
- We detected no treatment effects on total nitrogen stocks (Figure 5).
- Despite high application rates, compost did not increase soil salinity.
- There were no differences between treatments in soil health metrics analyzed, which included:
- Carbon (TC, SIC, SOC)
- Nitrogen (NH4, NO3, TON)
- Phosphorus (Olsen P)
- POX-C (proxy for microbial/active carbon)
- Water holding capacity
- Beta-glucosidase (Microbial extracellular enzyme)
- PH
- Soil Respiration
- Water Stable Aggregates
- CEC (Cation Exchange Capacity)
- Salts
Table 4. Average yield per acre across treatments, sites and years.
Fertilizer-applied plots were significantly more productive compared to compost-applied or control plots in Year One (2021, P= 0.0088 and P = 0.0161 respectively). Plots where compost was applied were not significantly different from control plots (P = 0.9903). Across sites, plots with compost+fertilizer were not significantly different than controls (P= 0.1690). However, in Ridgway, yields on compost+fertilizer plots were like those of fertilizer (see Figure 3, and associated table). This is likely due to the higher amount of nitrogen applied relative in Ridgway in the compost+fertilizer treatment based on the yield goal and soil nitrogen prior to application.
2021
| Treatment | Avg. Yield, Lbs./acre±SE |
|---|---|
| Control | 2,161±491a |
| Compost | 2,025±498a |
| Fertilizer | 3,607±498b |
| Fert + Compost | 2,995±497a |
2022
| Treatment | Avg. Yield, Lbs./acre±SE |
|---|---|
| Control | N/A |
| Compost | 3,179±498c |
| Fertilizer | 3,565±498c |
| Fert + Compost | 3,095±523c |

2021
| Fruita Treatment | Fruita Yield, Lbs./Acre | Ridgway Treatment | Ridgway Yield, Lbs./Acre |
|---|---|---|---|
| Control | 2,678±540 | Control | 1,643±681 |
| Compost | 2,294±195 | Compost | 1,690±87 |
| Fertilizer | 3,508±381 | Fertilizer | 3,660±668 |
| Fert+Comp | 2,618±603 | Fert+Comp | 3,301±445 |
2022
| Fruita Treatment | Fruita Yield, Lbs./Acre | Ridgway Treatment | Ridgway Yield, Lbs./Acre |
|---|---|---|---|
| Compost | 4,043±763 | Compost | 2,327±373 |
| Fertilizer | 4,265±500 | Fertilizer | 2,927±1349 |
| Fert+Comp | 4,259±215 | Fert+Comp | 2,297±904 |
Discussion
In our study, compost did not result in increased or on par yields when compared with fertilizer and had no effect on soil organic carbon and other soil health characteristics after two years. From a yield perspective, research in Colorado has demonstrated that the average yield response is 20 pounds of extra forage for every pound of N applied up to 100 pounds of N (Cooley and Brummer, 2011). Our forage yields in the fertilizer-applied compared to the compost and control plots are consistent with this research, suggesting that the N in the compost either did not mineralize in time to be taken up by plants, less of it was plant-available than assumed, or that it may have been subject to loss (e.g. via volatilization, denitrification, leaching). Given that N will almost always be limiting in irrigated perennial grass stands in Colorado, and our yields in the fertilized plots were consistent with predictions from past research showing 20 lbs. forage/ 1 lb N applied, we can assume N was a primary factor limiting yield in the compost-applied plots in our study.
The lack of salt accumulation, despite high rates of compost, was perhaps not surprising given that both fields were irrigated by flood irrigation. With flood irrigation, there is plenty of water to leach out salts, as opposed to sprinkler or drip systems. Salinity problems would likely occur where poor drainage exists, i.e., where leaching cannot occur, such as a low spot in a field or when near a shallow water table. We recommend users conduct annual soil tests to quantify salinity changes during a compost/manure/biosolid application program to ensure that there is not excess accumulation of salts (discussed below).


Other Studies
When we compare with other studies conducted in Colorado, results are mixed on the efficacy of compost. For example, two studies from the Northern Colorado Front Range showed conflicting results on irrigated pasture. One study found an increase in soil organic carbon (McClelland et al. 2022) and the other found no increase (Mikha et al. 2017) (Table 2). Similarly, while our study found no increase at any depth in soil organic carbon, Cooper and DeMarco (2023) did see an increase in soil organic carbon in one the four sites they tested.
Table 2: Comparison of select studies on compost and impact on soil organic carbon.
| Study | Did yield increase w/ compost? | Did soil organic carbon increase w/ compost? | Amount of Compost Applied | Study Duration | Timing of application | Study location |
|---|---|---|---|---|---|---|
| Cooper et al. 2023 | Yes, in 3 of 4 sites | Yes, in 1 of 4 sites. No in 3 of 4 sites. Measured top 10 cm (3.9 inches) | 102 Tons/Ac compost; C:N ratio = 14:1 | 1 year | Spring growing season | Western CO / Gunnison County |
| McClelland et al. 2022 | Yes | Yes, in top 10 cm (3.9 inches) but not across whole profile | 4.9 Tons/Acre (109 lbs/Ac N); C:N ratio = 8:1 | Soil C increase observed after 8 years | Spring growing season | Northern Front Range, CO |
| Mikha et al. 2017 | No | No | 9.8 Tons/Acre and 4.9 Tons/Acre; C:N ratio = 12:1 | 2 years | Fall the year before growing season | Northern Front Range, CO |
| This experiment | No | No. Measured in depths, 0-10 cm, 10-30 cm, 30-50 cm, and 50+ cm. | 18.8 Tons/Acre (90 lbs/Ac N) in Ridgway; 10.4 Tons/Acre (50 lbs/Ac N) in Fruita; C:N ratio = 18:1 | 2 years | Spring growing season | Western Slope, CO, 2 sites |
Why the different results? Table 2 summarizes key aspects of these studies. Nitrogen mineralization rates in Colorado may be slower than presumed, which means managers need to apply more compost, or use another N source, to meet the needs of grass hay. One study found that the amount of nitrogen mineralized in the first year after compost application was 6% rather than 20% estimated by other studies (Hurisso et al 2011). This may explain the positive results from one study where compost was applied at 5 times the rate of those used in our study – I.e., there was just more N available (Cooper and DeMarco 2023).
However, this was not universal across all sites within that study: soil organic carbon only increased in one out of four sites. Yield was greatly increased in 3 out of 4 sites. We caution that there may be risks of salt accumulation if high rates are repeated. We recommend users conduct annual soil tests to quantify salinity changes during a compost/manure/biosolid application program to ensure that there is not excess accumulation of salts. If biosolids are used, there are standards associated with trace mineral concentrations and vectors for agricultural use (US EPA; Marchuk et al. 2023).
Additionally, the amounts of compost needed to supply N to grasses also have high amounts of phosphorus. High rates of phosphorus in a single application can increase potential P runoff (Cooley and Brummer 2011). This risk can be decreased by using some form of tillage to incorporate P (see Recommendations), so that it is not loose on the surface where it is vulnerable to irrigation water.
It is notable that in McClelland et al., researchers also saw an increase in soil organic carbon at much lower rates of compost application compared to Cooper and DeMarco (see Table 2). In both studies in which compost increased production, the field had not previously been fertilized with mineral fertilizer for many years before compost application. It may be the case that nutrients were much more limiting in these sites, so application of compost was more beneficial.
The C:N ratio of the compost may be another factor. Producers should seek a compost with a low C:N ratio. Composts with high carbon may lead to immobilization of nitrogen, as microbes decompose the applied compost. Both studies that saw increases in production due to compost had lower C:N ratios than the compost used in our study.
Managers could also consider more than 1 application of compost, though this had mixed results in two studies with multiple applications. McClelland et al. saw increases in soil organic carbon with two applications, but Mikha et al. (2017) did not.
Finally, studies have documented that compost application can increase microbial respiration compared to untreated areas (Kutos et al. 2023; McClelland et al. 2022; Fontaine et al. 2007), which could limit any C increases to soil. If compost increases C outputs from microbial respiration more than C inputs from productivity, there would be a net decrease in soil organic carbon belowground.
Costs of Compost
Cost is always a consideration in agriculture. We estimated the costs of compost in our study compared to mineral fertilizer (Table 3). We estimated that compost was ~ 4 times as expensive per acre compared with mineral fertilizer.
Table 3: Comparison of costs of compost and fertilizer used in this experiment.
| Site | Treatment | Compost Added (tons/acre) | Compost (lbs. N/acre) | MAP (lbs. N/acre) | Urea (lbs. N/acre) | Compost ($/acre) | MAP ($/acre) | Urea ($/acre) | Total ($/acre) |
|---|---|---|---|---|---|---|---|---|---|
| Ridgway | Compost | 18.8 | 90 | — | — | $362 | — | — | $362 |
| Fruita | Compost | 10.4 | 50 | — | — | $201 | — | — | $201 |
| Ridgway | Fert+Comp | 6 | 29 | — | 61 | $117 | — | $54 | $171 |
| Fruita | Fert+Comp | 6 | 29 | — | 21 | $117 | — | $19 | $136 |
| Ridgway | Fert Only | 0 | — | 10.58 | 79.42 | — | $15 | $71 | $86 |
| Fruita | Fert Only | 0 | — | 8.46 | 41.54 | — | $12 | $37 | $49 |
Implications
Given that results on composts’ efficacy for yield and soil carbon are mixed, there is risk involved in this practice as the costs are significant and may not produce intended results. However, risks may be mitigated by considering the timing of application, compost quality and amounts, incorporation, and ensuring there is sufficient N by combining it with mineral fertilizer, and/or choosing a compost with low levels of carbon relative to nitrogen (see Recommendations).
Whether or not compost is the right choice for an operation depends on context of an operation and that operation’s unique goals (i.e., if they are willing to risk reduced yields to reduce reliance on mineral fertilizers, or for other goals).
Apply Compost Using Best Management Practices and the 4 R’s
To maximize the potential benefits and reduce risk, we recommend timing the application relative to crop use to allow N in compost time to mineralize and become crop-available. For irrigated pasture in Colorado, this is most likely the fall before the growing season. We also recommend incorporation that doesn’t disturb existing pasture grasses, such as light harrowing, in irrigated pasture to reduce losses. Manure-based composts can be high in salts, so we recommend sampling soil and compost salinity and estimating the effect of compost amendments on soil salinity to make sure you are within the range of the crop/forage salinity tolerance. Other nutrients (e.g. P, K) in compost should also be considered. In our study, compost application rates based on N meant that we added far more P and K than forage nutrient requirements.
Plan for Slow Changes and Appropriate Sampling
Changes to soil carbon can be slow, and it is possible that differences would have been realized in our study given more time. Another challenge is detecting small changes in soil carbon because carbon amounts vary naturally across a field.
Soil inorganic carbon is another challenge to accurately quantifying soil organic carbon. Soil inorganic carbon is common in arid and semi-arid climates because the underlying geology promotes a high concentration of carbonates (form of inorganic carbon). In our study, soil inorganic carbon accounted for the majority (~75%) of total carbon stocks at our Fruita site.
If detecting soil carbon change is the primary goal, we recommend maximizing the time between sampling events (longer treatment duration). We also recommend using existing data to account for spatial variability and to determine the number of samples required to maximize detection of change. The Stratifi Soil Sampling App can help address questions on the number and distribution of samples needed.
Use Context to Your Advantage
Producers can also increase the likelihood of increasing soil organic matter and carbon, and yield, by choosing a site with a history of prior disturbance and depleted soil carbon stocks. Prior disturbance and depleted carbon stocks have greater potential for increases in soil carbon following compost amendments. If increasing soil organic carbon is your goal, we suggest applying compost to degraded areas.
Finally, while this fact sheet concerns only irrigated pasture, other studies address use of compost on rangeland. Rangelands are a type of land, on which vegetation is predominantly native grasses, grass‐likes, forbs, and shrubs that are managed as natural systems, and where grazing by domestic and wild ungulates can be a significant ecological factor. In rangeland systems, nutrient addition can increase production in the short term (Kutos et al. 2023), but it can also backfire to produce undesirable results for soil carbon, forage, and habitat goals over the long term (Blumenthal. et al. 2017). For example, in a study in Northern Colorado, compost addition increased invasive annual grasses, specifically cheatgrass on rangelands. Table 5 summarizes considerations for use of compost on rangelands compared with irrigated pasture.
Table 5. A summary of risks and benefits of compost associated with various land types. Ratings are based on this study and other studies.
| Land Type | Potential Risk – Invasives | Potential Risk – Costs | Potential Benefits | Considerations |
|---|---|---|---|---|
| Irrigated Pasture* | Low | Expensive | Yield: Moderate-mixed results. SOC: Moderate-mixed results. Soil Health: Moderate-mixed results. | Risk tolerance, timeline and timing of application, goals (production, soil health, economic, other), and incorporation potential. |
| Degraded Rangeland** | If site is already invaded by annuals, risk is low | Expensive relative to forage gain | Moderate. Some studies show increased production. | Cause of degradation (i.e. overgrazing, heavy ATV use, etc.) and if that force has been stopped, and goals. In some cases, high N may inhibit the establishment of native bunchgrasses. |
| Not-Degraded Rangeland** | Moderate-High. Annual invasives may increase over time. | Expensive relative to forage gain | Moderate. Some studies show increased production and increased SOC. | Dominant species on the site, presence of cheatgrass seeds and seedlings, state of the site. In CO, perennials are dominant except for highly degraded sites. |
*Irrigated pasture: A land type where the plants species include non-native and native perennial grass and forbs, and that are intensively managed using irrigation, fertilization, weed control and may include occasional tillage. Irrigated pastures may be hayed and/or grazed.
**Rangeland: Rangelands are a type of land, on which vegetation is predominantly native grasses, grass‐likes, forbs, and shrubs that are managed as natural systems, and where grazing by domestic and wild ungulates can be a significant ecological factor.
Acknowledgements
The authors thank Steve Blecker, Seth Urbanowitz, and A.J. Brown for reviewing early versions and providing helpful feedback that improved the fact sheet.
Thank you to the Grand Valley Research Station in Fruita, CO, especially Jim Fry and Perry Cabot for space to do the experiment. Thank you as well to the Triple D Ranch in Ridgway, CO for their help in hosting the experiment in a second field. We thank the producers, and others, including the Shavano Conservation District for their support. Finally, thank you to all the individuals who helped collect and process the data including Katie Alexander, Cordelia Anderson, Jenny Beiermann, Analissa Sarno and Tayin Wang.
This material is based upon work that is supported by the National Institute of Food and Agriculture, U.S. Department of Agriculture, under award number G345-20-W7901 through the Western Sustainable Agriculture Research and Education program under project number OW20-358. USDA is an equal opportunity employer and service provider. Any opinions, findings, conclusions, or recommendations expressed in this publication are those of the author(s) and do not necessarily reflect the view of the U.S. Department of Agriculture.
Citations
Blumenthal, D. M., LeCain, D. R., & Augustine, D. J. (2017). Composted manure application promotes long‐term invasion of semi‐arid rangeland by Bromus tectorum. Ecosphere, 8(10), e01960.
Cooley, W., and Brummer, J. (2011). Chapter 6: Fertility Management. In Intermountain Grass and Legume Forage Production Manual, 2nd Edition. Agricultural Experiment Station and CSU Extension. Pgs. 55 –61.
Cooper, A., & DeMarco, J. (2023). Composted biosolids amendments for enhanced soil organic carbon and water storage in perennial pastures in Colorado. Agriculture, Ecosystems & Environment, 347, 108401.
Crohn, D. M. (2016). Assessing compost quality for agriculture. University of California: Agriculture and Natural Resources. Available at: https://anrcatalog.ucanr.edu/pdf/8514.pdf. Accessed August 13, 2024.
The Fertilizer Institute. (2024). 4R Pocket Guide. The Fertilizer Institute. Available at: https://cra.missouri.edu/wp-content/uploads/2022/10/TFI-4R-Pocket-Guide_2017.pdf. Accessed: August 13, 2024.
Fontaine, S., Barot, S., Barré, P., Bdioui, N., Mary, B., & Rumpel, C. (2007). Stability of organic carbon in deep soil layers controlled by fresh carbon supply. Nature, 450(7167), 277-280.
Fronczak, S. Updated from an article written by E. Roger. (2019). The 4R’s of nutrient management. Michigan State University Extension Field Crops. Available at: https://www.canr.msu.edu/news/the-4r-s-of-nutrient-management. Accessed: August 13, 2024.
Hurisso, T. T., Davis, J. G., Brummer, J. E., Stromberger, M. E., Mikha, M. M., & Roman-Muniz, N. (2011). Evaluation of soil fertility and soil quality aspects of organic perennial pastures and annual forage crops.
Kutos, S., Stricker, E., Cooper, A., Ryals, R., Creque, J., Machmuller, M., … & Silver, W. L. (2023). Compost amendment to enhance carbon sequestration in rangelands. Journal of Soil and Water Conservation, 78(2), 163-177.
Lakhdar, A., Rabhi, M., Ghnaya, T., Montemurro, F., Jedidi, N., & Abdelly, C. (2009). Effectiveness of compost use in salt-affected soil. Journal of hazardous materials, 171(1-3), 29-37.
Lupis, S. G., Embertson, N., & Davis, J. G. (2012). Best Management Practices for Reducing Ammonia Emissions: Lagoon Covers. Livestock Series/Management.
Marchuk, S., Tait, S., Sinha, P., Harris, P., Antille, D. L., & McCabe, B. K. (2023). Biosolids-derived fertilizers: A review of challenges and opportunities. Science of the Total Environment, 875, 162555.
McClelland, S. C., Cotrufo, M. F., Haddix, M. L., Paustian, K., & Schipanski, M. E. (2022). Infrequent compost applications increased plant productivity and soil organic carbon in irrigated pasture but not degraded rangeland. Agriculture, Ecosystems & Environment, 333, 107969.
Mikha, M. M., Hergert, G. W., Benjamin, J. G., Jabro, J. D., & Nielsen, R. A. (2015). Long‐term manure impacts on soil aggregates and aggregate‐associated carbon and nitrogen. Soil Science Society of America Journal, 79(2), 626-636.
Mikha, M. M., Widiastuti, D. P., Hurisso, T. T., Brummer, J. E., & Davis, J. G. (2017). Influence of composted dairy manure and perennial forage on soil carbon and nitrogen fractions during transition into organic management. Agriculture, 7(5), 37.
Mikha, M. M., Benjamin, J. G., Vigil, M. F., & Poss, D. J. (2017b). Manure and tillage use in remediation of eroded land and impacts on soil chemical properties. PLoS One, 12(4), e0175533.
US Environmental Protection Agency. (2000). Biosolids technology fact sheet: Land application of biosolids. Available at: https://www3.epa.gov/npdes/pubs/land_application.pdf
Ward, R. C. (2020). Ward guide: guiding producers today to feed the world tomorrow. Available at: www.wardlab.com. 192. Pgs.
Waskom, R. M, and Davis, J. (1994). Best management practices for manure utilization. Bulletin 568A. Colorado State University Cooperative Extension in Cooperation with the Colorado Department of Agriculture. 30 pgs. Available at: https://extension.colostate.edu/docs/pubs/crops/568A.pdf